• Apuntes
  • Vídeos
  • Ejercicios
    • Resueltos
    • Por Curso
      • 1º ESO
      • 2º ESO
      • 3º ESO
      • 4º ESO
      • 1º BACH. CIENCIAS
      • 1º BACH. SOCIALES
      • 2º BACH. CIENCIAS
      • 2º BACH. SOCIALES
  • Más recursos
    • Actividades Interactivas
    • Selectividad (PAU)
    • Acceso Mayores 25
    • LaTeX
Inicio ›EJERCICIOS de Matemáticas ›3º ESO ›Ecuaciones ›ecuaciones grado1 denominadores

ecuaciones grado1 denominadores

💬 1

  ecuacionesecuaciones con denominadoresecuaciones de primer gradoEjercicios_Resueltos

Resolver la ecuación: \frac{2x+1}{6}+\frac{5x}{4}=3-\frac{x}{2}

SOLUCIÓN

\frac{2x+1}{6}+\frac{5x}{4}=3-\frac{x}{2}
Ponemos "1" a los que no tienen denominador

\frac{2x+1}{6}+\frac{5x}{4}=\frac{3}{1}-\frac{x}{2}

m.c.m.(2,4,6)=12

\frac{2 \cdot(2x+1)}{12}+\frac{3 \cdot 5x}{12}=\frac{12 \cdot 3}{12}-\frac{6 \cdot x}{12}
Quitamos denominadores
2 \cdot(2x+1)+3 \cdot 5x=12 \cdot 3-6 \cdot x
4x+2+15x=36-6x
4x15x+6x=36-2
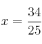
25x=34
x=\frac{34}{25}

Comentar el ejercicio

Mensajes

  • 28 de noviembre de 2006, 10:45, por dani

    x = \frac{34}{25}

  • 3º ESO
    • Sistemas de ecuaciones
    • Ecuaciones
    • Polinomios
    • Radicales
    • Potencias
    • Proporcionalidad y Porcentajes
    • Números Reales
    • Funciones y Gráficas
    • Sucesiones
    • Probabilidad
    • Geometría
    • Estadística
    • Problemas especiales
  • Mapa del sitio
  • Conectarse
  • 2001-2026 — Matemáticas IES — Contactar con Dani