ecuaciones grado1 denominadores
Resuelve la ecuación: 
SOLUCIÓN

Hacemos el m.c.m. de los denominadores:
![]()

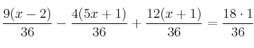
Ahora que tienen el mismo denominador, podemos quitarlos
![]()
Quitamos denominadores
![]()
Agrupamos os términos "con x" en el lado izquierdo y los números en el derecho
![]()
Operando obtenemos:
![]()
Mensajes
5 de septiembre de 2006, 20:00, por Dani
solución: