• Apuntes
  • Vídeos
  • Ejercicios
    • Resueltos
    • Por Curso
      • 1º ESO
      • 2º ESO
      • 3º ESO
      • 4º ESO
      • 1º BACH. CIENCIAS
      • 1º BACH. SOCIALES
      • 2º BACH. CIENCIAS
      • 2º BACH. SOCIALES
  • Más recursos
    • Actividades Interactivas
    • Selectividad (PAU)
    • Acceso Mayores 25
    • LaTeX
Inicio ›EJERCICIOS de Matemáticas ›3º ESO ›Ecuaciones ›ecuaciones grado2

ecuaciones grado2

ecuacionesecuaciones-segundo-gradoEjercicios_Resueltosformula ecuación 2º grado

Resuelve la ecuación:  3x^2-5x+2=0

SOLUCIÓN

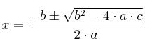
Usamos la formula de las ecuaciones de segundo grado:

x=\frac{-b \pm \sqrt{b^2-4 \cdot a \cdot c}}{2 \cdot a}


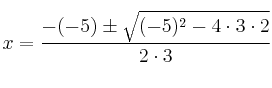
En nuestro caso a=3 ; b=-5 ; c=2

x=\frac{-(-5) \pm \sqrt{(-5)^2-4 \cdot 3 \cdot 2}}{2 \cdot 3}


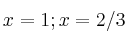
x=\frac{5 \pm \sqrt{25-24}}{6} = \frac{5 \pm 1}{6}

x=1 ; x=2/3

Comentar el ejercicio

  • 3º ESO
    • Sistemas de ecuaciones
    • Ecuaciones
    • Polinomios
    • Radicales
    • Potencias
    • Proporcionalidad y Porcentajes
    • Números Reales
    • Funciones y Gráficas
    • Sucesiones
    • Probabilidad
    • Geometría
    • Estadística
    • Problemas especiales
  • Mapa del sitio
  • Conectarse
  • 2001-2026 — Matemáticas IES — Contactar con Dani