ecuaciones irracionales
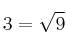
Resuelve la ecuación ![]()
SOLUCIÓN
![]()
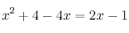
Elevamos al cuadrado ambos miembros para eliminar la raíz

![]()
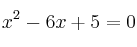
![]()
Resolvemos la ecuación de 2º grado

Comprobamos las soluciones:
Para ![]()
![]()
![]()
NO es solución válida
Para ![]()
![]()
![]()
SI es solución válida
Solución 