ecuaciones irracionales
Resuelve la ecuación: ![]()
SOLUCIÓN
![]()
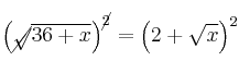
Aislamos una de las raíces y elevamos al cuadrado para eliminarla
![]()

En el segundo miembro debemos aplicar las fórmulas de las igualdades notables

![]()
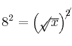
Aún queda una raíz. Debemos aislarla y elevar al cuadrado
![]()
![]()
![]()

![]()
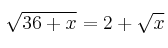
Recordemos que en las ecuaciones irracionales hay que verificar las soluciones
![]()


![]()
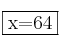
La solución
es CORRECTA