ecuaciones logaritmicas
Resuelve la ecuación 
SOLUCIÓN
Para resolver una ecuación logarítmica debemos tener clara la definición de logaritmo y las propiedades de los logaritmos.
Una vez que tengamos claro lo anterior, debemos entender la estrategia a seguir (que suele ser siempre la misma):
Debemos dejar a cada lado del signo igual un sólo logaritmo obteniendo una expresión del tipo:
![]()
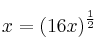
en la que podremos cancelar logaritmos quedando:
![]()
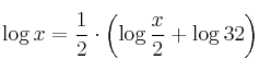
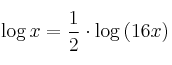
Para conseguir un sólo logaritmo a cada lado del signo igual usaremos las propiedades de los logaritmos:
1) primero pasamos al exponente los números que multipliquen a un logaritmo
2) después transformamos sumas en producto y restas en división









![]()
![]()
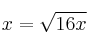
![]()
–
– ![]()
Soluciones:
y 
En las ecuaciones logarítmicas debemos verificar las soluciones.
La solución x=0 no es correcta, pues en la ecuación original obtendríamos log (0). Debemos recordar que no existen los logaritmos de cero ni de números negativos.
Por tanto la única solución es: 