• Apuntes
  • Vídeos
  • Ejercicios
    • Resueltos
    • Por Curso
      • 1º ESO
      • 2º ESO
      • 3º ESO
      • 4º ESO
      • 1º BACH. CIENCIAS
      • 1º BACH. SOCIALES
      • 2º BACH. CIENCIAS
      • 2º BACH. SOCIALES
  • Más recursos
    • Actividades Interactivas
    • Selectividad (PAU)
    • Acceso Mayores 25
    • LaTeX
Inicio ›EJERCICIOS de Matemáticas ›4º ESO ›Ecuaciones ›ecuaciones primer grado denominadores

ecuaciones primer grado denominadores

ecuacionesecuaciones con denominadoresecuaciones de primer gradoEjercicios_Resueltos

Resuelve la ecuación
\frac{x+2}{5} + \frac{2}{10} = \frac{3}{2} - \frac{7-x}{25}

SOLUCIÓN

\frac{x+2}{5} + \frac{2}{10} = \frac{3}{2} - \frac{7-x}{25}
m.c.m.(5,10,2,25)=50
\frac{10(x+2)}{50} + \frac{5 \cdot 2}{50} = \frac{25 \cdot 3}{50} - \frac{2(7-x)}{50}
10(x+2) + 5 \cdot 2 =25 \cdot 3 - 2(7-x)
10x+20 + 10 = 75 - 14 +2x
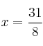
8x = 31
x = \frac{31}{8}

Comentar el ejercicio

  • 4º ESO
    • Números Reales
    • Radicales
    • Logaritmos
    • Polinomios
    • Ecuaciones
    • Sistemas de ecuaciones
    • Proporcionalidad
    • Inecuaciones
    • Trigonometría
    • Funciones 4º ESO
    • Números racionales
    • Circunferencia
    • Geometría en el plano
    • Probabilidad
    • Estadística
  • Mapa del sitio
  • Conectarse
  • 2001-2026 — Matemáticas IES — Contactar con Dani