ecuaciones problemas

ecuacionesEjercicios_Resueltosproblemas_con_sistemas

En una reunión hay el doble número de mujeres que de hombres. El número de niños es la mitad que el de adultos. Sabiendo que en total hay 36 personas, calcula el número de hombres, mujeres y niños.

SOLUCIÓN

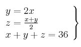
nº hombres: x
nº mujeres: y
nº niños: z

\left. \begin{array}{lcc}
             y = 2x\\
             z = \frac{x+y}{2}\\
             x + y + z = 36
             \end{array}
   \right\}
x=8 ; y=16 ; z=12

Hombres: 8 ; Mujeres: 16 ; Niños: 12

Comentar el ejercicio