ecuaciones segundo grado
Resuelve la ecuación: ![]()
SOLUCIÓN
![]()
Debemos quitar los paréntesis aplicando las propiedades de los productos notables
![]()
![]()
![]()
![]()
![]()

Las soluciones son
y ![]()
Resuelve la ecuación: ![]()
![]()
Debemos quitar los paréntesis aplicando las propiedades de los productos notables
![]()
![]()
![]()
![]()
![]()

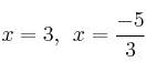
Las soluciones son
y ![]()
Mensajes
3 de diciembre de 2006, 12:02, por dani