ecuaciones segundo grado incompletas
Resuelve las siguientes ecuaciones sin aplicar la fórmula general:
– a)
– b) ![]()
SOLUCIÓN
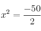
– a) ![]()
![]()
![]()


– b) ![]()
![]()

![]()
![]()
No tiene soluciones reales
Resuelve las siguientes ecuaciones sin aplicar la fórmula general:
– a)
– b) ![]()
– a) ![]()
![]()
![]()


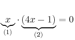
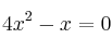
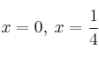
– b) ![]()
![]()

![]()
![]()
Mensajes
3 de diciembre de 2006, 11:15, por dani
– a)
– b) No tiene solución