• Apuntes
  • Vídeos
  • Ejercicios
    • Resueltos
    • Por Curso
      • 1º ESO
      • 2º ESO
      • 3º ESO
      • 4º ESO
      • 1º BACH. CIENCIAS
      • 1º BACH. SOCIALES
      • 2º BACH. CIENCIAS
      • 2º BACH. SOCIALES
  • Más recursos
    • Actividades Interactivas
    • Selectividad (PAU)
    • Acceso Mayores 25
    • LaTeX
Inicio ›EJERCICIOS de Matemáticas ›4º ESO ›Ecuaciones ›ecuaciones segundo grado denominadores

ecuaciones segundo grado denominadores

💬 1

  ecuacionesecuaciones con denominadoresecuaciones-segundo-grado

Resuelve la ecuación:

 \frac{(3x-2)^2}{4} = 16


Comentar el ejercicio

Mensajes

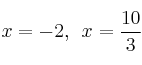
  • 3 de diciembre de 2006, 12:05, por dani

    x=-2, \:\: x=\frac{10}{3}

  • 4º ESO
    • Números Reales
    • Radicales
    • Logaritmos
    • Polinomios
    • Ecuaciones
    • Sistemas de ecuaciones
    • Proporcionalidad
    • Inecuaciones
    • Trigonometría
    • Funciones 4º ESO
    • Números racionales
    • Circunferencia
    • Geometría en el plano
    • Probabilidad
    • Estadística
  • Mapa del sitio
  • Conectarse
  • 2001-2026 — Matemáticas IES — Contactar con Dani