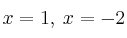
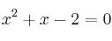
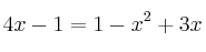
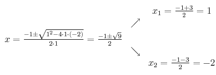
ecuaciones segundo grado 💬 1 ecuacionesecuaciones-segundo-gradoEjercicios_Resueltosformula ecuación 2º grado Resuelve las siguientes ecuaciones: – a) – b) SOLUCIÓN – a) La solución es – b) Las soluciones son y Comentar el ejercicio Mensajes 3 de diciembre de 2006, 11:58, por dani – a) – b)
Mensajes
3 de diciembre de 2006, 11:58, por dani
– a)

– b)