ecuaciones segundo grado

💬 2

  ecuacionesecuaciones-segundo-gradoEjercicios_Resueltosformula ecuación 2º grado

Resuelve la ecuación: 5(x-2)^2 - 500 = 0

SOLUCIÓN

En primer lugar quitamos el paréntesis.
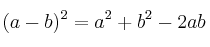
Observa que es un binomio al cuadrado, debemos aplicar las propiedades de las igualdades notables:

(a-b)^2=a^2+b^2-2ab


Para nuestro caso sería:

(x-2)^2=x^2+2^2-2 \cdot x \cdot 2 = x^2-4x+4


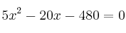
La ecuación, por tanto quedaría
5(x^2-4x+4)- 500 = 0
Quitamos paréntesis
5x^2-20x+20 - 500 = 0
5x^2-20x-480 = 0
Nos queda una ecuación de segundo grado, que como ya está ordenada podemos aplicar la fórmula general:

Comentar el ejercicio

Mensajes