ecuaciones segundo grado
Resuelve las ecuaciones:
–
– ![]()
SOLUCIÓN
![]()
Ecuación de segundo grado incompleta.
Aunque se puede usar la formula general, se resuelven más fácil despejando ![]()
![]()
![]()
![]()
![]()
![]()
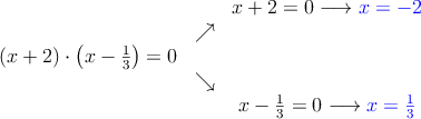
Producto de factores igualado a cero

Resuelve las ecuaciones:
–
– ![]()
![]()
Ecuación de segundo grado incompleta.
Aunque se puede usar la formula general, se resuelven más fácil despejando ![]()
![]()
![]()
![]()
![]()
![]()
Producto de factores igualado a cero
