ecuaciones segundo grado incompletas
Resuelve las siguientes ecuaciones sin aplicar la fórmula general:
– a)
– b) ![]()
SOLUCIÓN
a) ![]()
Las ecuaciones de segundo grado incompletas a las que le falta el término "c" se resuelven sacando factor común "x"
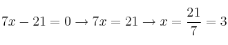
![]()
De donde:
–
– 
Por tanto las soluciones son ![]()
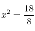
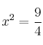
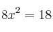
b) ![]()
Las ecuaciones de segundo grado incompletas a las que le falta el término "b" se resuelven despejando ![]()
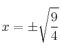
![]()




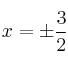
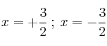
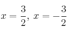
Por tanto las soluciones son 
Mensajes
3 de diciembre de 2006, 11:07, por dani
– a)

– b)