ecuaciones segundo grado incompletas
Resuelve las siguientes ecuaciones sin aplicar la fórmula general:
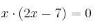
– a)
– b)![]()
SOLUCIÓN
– a) ![]()
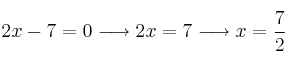
Las ecuaciones de segundo grado incompletas a las que falta el término "c" se resuelven sacando factor común "x"
![]()
![]()
de donde:
–
– 
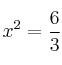
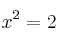
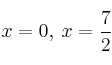
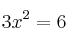
– b)![]()
Las ecuaciones de segundo grado incompletas a las que falta el término "b" se resuelven despejando ![]()
![]()
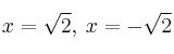
![]()

![]()

Mensajes
3 de diciembre de 2006, 11:12, por dani
– a)

– b)