• Apuntes
  • Vídeos
  • Ejercicios
    • Resueltos
    • Por Curso
      • 1º ESO
      • 2º ESO
      • 3º ESO
      • 4º ESO
      • 1º BACH. CIENCIAS
      • 1º BACH. SOCIALES
      • 2º BACH. CIENCIAS
      • 2º BACH. SOCIALES
  • Más recursos
    • Actividades Interactivas
    • Selectividad (PAU)
    • Acceso Mayores 25
    • LaTeX
Inicio ›EJERCICIOS de Matemáticas ›3º ESO ›Números Reales ›fracciones operaciones

fracciones operaciones

Ejercicios_Resueltosfraccionesoperaciones_con_fracciones

Calcula y simplifica:
- \frac{8}{3} + \frac{3}{4} \left ( - \frac{2}{5} \right )

SOLUCIÓN

- \frac{8}{3} + \frac{3}{4} \left ( - \frac{2}{5} \right )

- \frac{8}{3} - \frac{6}{20}
m.c.m.(3,20)=60
- \frac{8 \cdot 20}{60} - \frac{6 \cdot 3}{60}
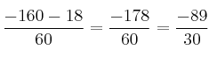
 \frac{-160 -18}{60} = \frac{-178}{60}=\frac{-89}{30}

Comentar el ejercicio

  • 3º ESO
    • Sistemas de ecuaciones
    • Ecuaciones
    • Polinomios
    • Radicales
    • Potencias
    • Proporcionalidad y Porcentajes
    • Números Reales
    • Funciones y Gráficas
    • Sucesiones
    • Probabilidad
    • Geometría
    • Estadística
    • Problemas especiales
  • Mapa del sitio
  • Conectarse
  • 2001-2026 — Matemáticas IES — Contactar con Dani