fracciones operaciones
Calcula y simplifica:
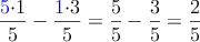
–
– 
SOLUCIÓN
– 
Como tienen distinto denominador, debemos reducirlas a común denominador (calculando el mínimo común múltiplo de los denominadores)
![]()
dividimos 12 entre el denominador y multiplicamos por el numerador
![]()
![]()
![]()
– 
![]()
![]()