fracciones operaciones
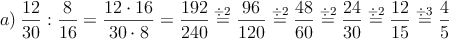
Calcula y simplifica:
–
– 
SOLUCIÓN
Recordemos como se dividen fracciones
Cociente de fracciones
cómo dividir fracciones
matematicasies.com
– ![]()
Otra forma de hacerlo:
![]()
– ![]()
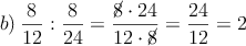
Calcula y simplifica:
–
– 
Recordemos como se dividen fracciones
– ![]()
Otra forma de hacerlo:
![]()
– ![]()