funciones
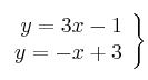
Representa gráficamente las siguientes rectas (en los mismos ejes de coordenadas):
![]()
Comprueba gráficamente cuál es el punto de corte. Calcula algebraicamente el punto de corte (resolviendo el sistema de ecuaciones)
SOLUCIÓN
![]()
Para dibujar una recta tan sólo necesitamos dos puntos:
Si ![]()
Si ![]()

Dibujamos los puntos
y
y trazamos la recta.
Procedemos igual con la otra recta y la dibujamos en los mismo ejes de coordenadas que la anterior
![]()
Si ![]()
Si ![]()

Dibujamos los puntos
y
y trazamos la recta.
Vemos en la gráfica que se cortan en el punto (1,2)
Si resolvemos el sistema de ecuaciones formado por las dos ecuaciones de las dos rectas deberíamos obtener como soluciones x=1 ; y=2

Dado que tenemos "y" despejada en ambas ecuaciones podemos usar el método de igualación:
![]()
![]()
![]()
![]()
Ahora calculamos "y" en cualquiera de las ecuaciones:
![]()
![]()
![]()
Hemos obtenido, como estaba previsto, como soluciones:
![]()