funciones
Calcula los puntos de corte con los ejes de coordenadas de las siguientes funciones:
– a)
– b)
– c)
– d) ![]()
SOLUCIÓN
Para hallar los puntos de corte con los ejes de coordenadas seguimos estos pasos:
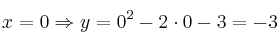
– 1) Hacemos
y calculamos
. Nos dará los puntos de corte con el eje de ordenadas (eje vertical)
– 2) Hacemos
y calculamos
. Nos dará los puntos de corte con el eje de abcisas (eje horizontal)
– a) ![]()
Si ![]()
Punto de corte ![]()
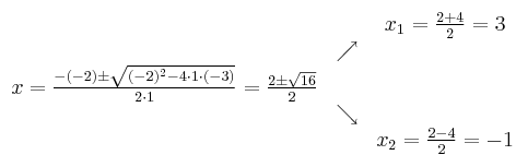
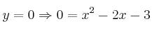
Si ![]()
Resolvemos la ecuación de segundo grado

Las soluciones son x=3 y x=-1
Puntos de corte
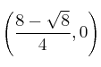
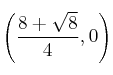
– b) ![]()
Si ![]()
Punto de corte ![]()
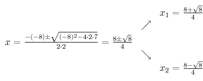
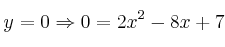
Si ![]()
Resolvemos la ecuación de segundo grado

Puntos de corte
y
– c) ![]()
Si ![]()
Punto de corte ![]()
Si 
Punto de corte 
– d) ![]()
Si ![]()
Punto de corte ![]()
Si
Ecuación sin solución
No hay más puntos de corte
La función constante
es una recta horizontal que pasa por el punto
, por tanto no corta al eje de abcisas (eje horizontal)