funciones ecuación_recta
Comprueba algebraicamente si los siguientes puntos están en la misma recta:
y ![]()
SOLUCIÓN
Para comprobar si 3 puntos están en la misma recta podemos hacer lo siguiente:
– 1) Hallar la ecuación de la recta que pasa por dos puntos
– 2) Comprobar si el tercer punto pertenece a la recta anterior
1) Hacemos la ecuación de la recta que pasa por (2,0) y (0,2)
Toda recta es de la forma ![]()
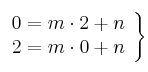
Le hacemos pasar por los dos puntos:

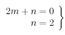
Ordenamos el sistema y lo resolvemos

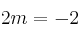
Por la 2ª ecuación sabemos que n=2, sustituimos en la 1ª ecuación
![]()
![]()
![]()
![]()
Por tanto, la ecuación de la recta que pasa por (2,0) y (0,2) es:
![]()
Veamos si el tercer punto (5,12) cumple la ecuación de la recta anterior
![]()
![]()
No cumple la ecuación, luego no está en esa recta.
Los tres puntos no están en la misma recta.
Vamos a verlo gráficamente: