funciones ecuación_recta
Escribe las ecuaciones de tres rectas perpendiculares a la recta ![]()
SOLUCIÓN
– Dos rectas son perpendiculares cuando el producto de sus pendientes sea -1
– La recta
tiene pendiente
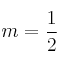
– La pendiente "m" de cualquier recta perpendicular cumplirá que
, con lo que 
Por tanto cualquier recta perpendicular a
tiene que tener de pendiente
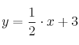
, por ejemplo:
–
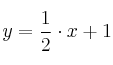
–
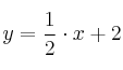
– 
Aunque no lo pide el enunciado, vamos a dibujar las rectas para comprobar que son perpendiculares: