funciones ecuación_recta

ecuacion_rectaEjercicios_Resueltosfunciones

Calcula la ecuación de las rectas que aparecen en la siguiente imagen:

SOLUCIÓN

Para encontrar la ecuación de cada recta debemos localizar dos puntos por los que pase.
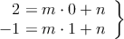
La recta verde pasa por (0,2) y (1,-1)
Ahora debemos hallar la ecuación de la recta que pasa por dos puntos.
La ecuación de cualquier recta se puede expresar así:
y = mx + n
Le hacemos pasar por los dos puntos:
\left.
\begin{array}{r}
2 = m \cdot 0 + n \\
 -1 = m \cdot 1 + n \\
\end{array} 
\right\}
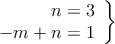
Ordenamos el sistema y lo resolvemos
\left.
\begin{array}{r}
n = 2 \\
 m  + n = -1\\
\end{array} 
\right\}
Soluciones n=2 y m=-3
La ecuación de la recta entonces será:

y = -3x + 2

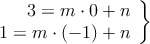
La recta azul pasa por (0,3) y (-1,1)
Ahora debemos hallar la ecuación de la recta que pasa por dos puntos.
La ecuación de cualquier recta se puede expresar así:
y = mx + n
Le hacemos pasar por los dos puntos:
\left.
\begin{array}{r}
3 = m \cdot 0 + n \\
 1 = m \cdot (-1) + n \\
\end{array} 
\right\}
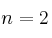
Ordenamos el sistema y lo resolvemos
\left.
\begin{array}{r}
n = 3 \\
 -m  + n = 1\\
\end{array} 
\right\}
Soluciones n=3 y m=2
La ecuación de la recta entonces será:

y = 2x + 3

Comentar el ejercicio