geometría
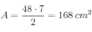
Calcula la superficie de un octógono regular de lado 6 cm y apotema 7 cm.
SOLUCIÓN
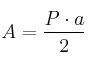
.El área de cualquier polígono regular se puede calcular con la fórmula:

El perímetro del octógono es
Entonces el área será:

Calcula la superficie de un octógono regular de lado 6 cm y apotema 7 cm.
.El área de cualquier polígono regular se puede calcular con la fórmula:

