logaritmos
Usa el cambio de base y la calculadora para calcular:
– a)
– b) ![]()
SOLUCIÓN
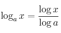
Recordemos la fórmula del cambio de base

Para poder usar la calculadora, cambiamos desde la base que nos da el enunciado a base 10 (logaritmo decimal). Entonces la fórmula sería:

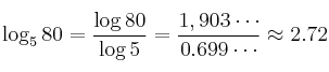
– a) 
– b) 