• Apuntes
  • Vídeos
  • Ejercicios
    • Resueltos
    • Por Curso
      • 1º ESO
      • 2º ESO
      • 3º ESO
      • 4º ESO
      • 1º BACH. CIENCIAS
      • 1º BACH. SOCIALES
      • 2º BACH. CIENCIAS
      • 2º BACH. SOCIALES
  • Más recursos
    • Actividades Interactivas
    • Selectividad (PAU)
    • Acceso Mayores 25
    • LaTeX
Inicio ›EJERCICIOS de Matemáticas ›4º ESO ›Polinomios ›polinomios factorizar

polinomios factorizar

💬 1

  Ejercicios_Resueltosfactorizar_polinomiospolinomios

Factoriza los siguientes polinomios:

– P(x) = 4x^4+4x^3-67x^2+62x-15
– Q(x) = x^5+x^4-4x^3-2x^2+4x

Comentar el ejercicio

Mensajes

  • 1ro de diciembre de 2006, 11:51, por dani

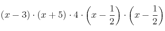
    P(x)=4x^4+4x^3-67x^2+62x-15 =
    (x-3) \cdot (x+5) \cdot 4  \cdot  \left(x-\frac{1}{2}\right)  \cdot  \left(x-\frac{1}{2}\right)

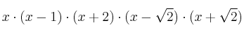
    Q(x)=x^5+x^4-4x^3-2x^2+4x =
    x \cdot (x-1) \cdot (x+2) \cdot (x-\sqrt{2}) \cdot (x+\sqrt{2})

  • 4º ESO
    • Números Reales
    • Radicales
    • Logaritmos
    • Polinomios
    • Ecuaciones
    • Sistemas de ecuaciones
    • Proporcionalidad
    • Inecuaciones
    • Trigonometría
    • Funciones 4º ESO
    • Números racionales
    • Circunferencia
    • Geometría en el plano
    • Probabilidad
    • Estadística
  • Mapa del sitio
  • Conectarse
  • 2001-2026 — Matemáticas IES — Contactar con Dani