• Apuntes
  • Vídeos
  • Ejercicios
    • Resueltos
    • Por Curso
      • 1º ESO
      • 2º ESO
      • 3º ESO
      • 4º ESO
      • 1º BACH. CIENCIAS
      • 1º BACH. SOCIALES
      • 2º BACH. CIENCIAS
      • 2º BACH. SOCIALES
  • Más recursos
    • Actividades Interactivas
    • Selectividad (PAU)
    • Acceso Mayores 25
    • LaTeX
Inicio ›EJERCICIOS de Matemáticas ›3º ESO ›Polinomios ›polinomios operaciones

polinomios operaciones

Ejercicios_Resueltosoperaciones_con_polinomiospolinomios

Sean los polinomios:
A(x) = -3x^2+3x ;
B(x) = 2x^2+3 ;
C(x) = 3x^4+2x^3-x^2+5 ;
D(x)=x+3.
Calcula:

– a) A(x) \cdot B(x)
– b) B(x) \cdot C(x)
– c) C(x) \cdot D(x)
– d) D(x) \cdot C(x)

SOLUCIÓN

– a) -6x^4+6x^3-9x^2+9x
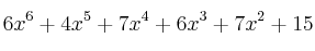
– b) 6x^6+4x^5+7x^4+6x^3+7x^2+15
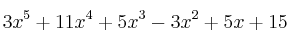
– c) 3x^5+11x^4+5x^3-3x^2+5x+15
– d) 3x^5+11x^4+5x^3-3x^2+5x+15

Comentar el ejercicio

  • 3º ESO
    • Sistemas de ecuaciones
    • Ecuaciones
    • Polinomios
    • Radicales
    • Potencias
    • Proporcionalidad y Porcentajes
    • Números Reales
    • Funciones y Gráficas
    • Sucesiones
    • Probabilidad
    • Geometría
    • Estadística
    • Problemas especiales
  • Mapa del sitio
  • Conectarse
  • 2001-2026 — Matemáticas IES — Contactar con Dani