• Apuntes
  • Vídeos
  • Ejercicios
    • Resueltos
    • Por Curso
      • 1º ESO
      • 2º ESO
      • 3º ESO
      • 4º ESO
      • 1º BACH. CIENCIAS
      • 1º BACH. SOCIALES
      • 2º BACH. CIENCIAS
      • 2º BACH. SOCIALES
  • Más recursos
    • Actividades Interactivas
    • Selectividad (PAU)
    • Acceso Mayores 25
    • LaTeX
Inicio ›EJERCICIOS de Matemáticas ›3º ESO ›Polinomios ›polinomios operaciones

polinomios operaciones

💬 2

  Ejercicios_Resueltosoperaciones_con_polinomiospolinomios

Sean los polinomios:
A(x) = -3x^2+3x
B(x) = 2x^2+3
C(x) = 3x^4+2x^3-x^2+5
D(x) = x+3
Calcula:

– a) A(x) + B(x) + C(x)
– b) A(x) + 2 \cdot B(x) - C(x)
– c) 5 \cdot A(x) - 2 \cdot B(x)

SOLUCIÓN

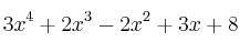
– a) 3x^4+2x^3-2x^2+3x+8
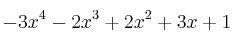
– b) -3x^4-2x^3+2x^2+3x+1
– c) -19x^2+15x-6

Comentar el ejercicio

Mensajes

  • 9 de febrero de 2022, 20:02, por g

    en el apartado b) seria=
    -3X a la cuarta+2X al cubo+3x+11 porque X cuadrado desaparece ya que es= -3X cuadrado +4X cuadrado - X cuadrado

    • 10 de febrero de 2022, 16:07, por dani

      Lo he revisado y está correcto.

  • 3º ESO
    • Sistemas de ecuaciones
    • Ecuaciones
    • Polinomios
    • Radicales
    • Potencias
    • Proporcionalidad y Porcentajes
    • Números Reales
    • Funciones y Gráficas
    • Sucesiones
    • Probabilidad
    • Geometría
    • Estadística
    • Problemas especiales
  • Mapa del sitio
  • Conectarse
  • 2001-2026 — Matemáticas IES — Contactar con Dani