• Apuntes
  • Vídeos
  • Ejercicios
    • Resueltos
    • Por Curso
      • 1º ESO
      • 2º ESO
      • 3º ESO
      • 4º ESO
      • 1º BACH. CIENCIAS
      • 1º BACH. SOCIALES
      • 2º BACH. CIENCIAS
      • 2º BACH. SOCIALES
  • Más recursos
    • Actividades Interactivas
    • Selectividad (PAU)
    • Acceso Mayores 25
    • LaTeX
Inicio ›EJERCICIOS de Matemáticas ›2º ESO ›Potencias ›potencias

potencias

💬 2

  Ejercicios_Resueltospotencias

Expresa el resultado como un producto de potencias
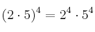
– a)  (2 \cdot 5)^4 =
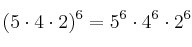
– b)  (5 \cdot 4 \cdot 2)^6  =

SOLUCIÓN

– a)  (2 \cdot 5)^4 =2^4 \cdot 5^4
– b)  (5 \cdot 4 \cdot 2)^6  =5^6 \cdot 4^6 \cdot 2^6

Comentar el ejercicio

Mensajes

  • 7 de octubre de 2019, 00:42, por alex

    ¿Por qué da 2 elevado a 4 x 5 elevado a 4 y no 10 elevado a cuatro?

    • 7 de octubre de 2019, 08:35, por dani

      Porque el enunciado dice que expreses el resultado en forma de producto de potencias

  • 2º ESO
    • Fracciones
    • Potencias
    • Radicales
    • Números Enteros
    • Proporcionalidad
    • Geometría
    • Ecuaciones
    • Polinomios
    • Gráficas y Funciones 2º ESO
  • Mapa del sitio
  • Conectarse
  • 2001-2026 — Matemáticas IES — Contactar con Dani