• Apuntes
  • Vídeos
  • Ejercicios
    • Resueltos
    • Por Curso
      • 1º ESO
      • 2º ESO
      • 3º ESO
      • 4º ESO
      • 1º BACH. CIENCIAS
      • 1º BACH. SOCIALES
      • 2º BACH. CIENCIAS
      • 2º BACH. SOCIALES
  • Más recursos
    • Actividades Interactivas
    • Selectividad (PAU)
    • Acceso Mayores 25
    • LaTeX
Inicio ›EJERCICIOS de Matemáticas ›3º ESO ›Potencias ›potencias

potencias

Ejercicios_Resueltospotencias

Calcula el valor de las siguientes expresiones:

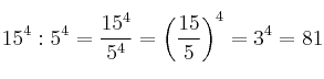
– a) 15^4:5^4
– b) 5 \cdot (3+4)^2
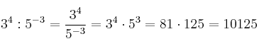
– c) 3^4 : 5^{-3}
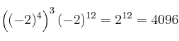
– d) \left({(-2)^4 }\right)^3

SOLUCIÓN

– a) 15^4:5^4 = \frac{15^4}{5^4} = \left( \frac{15}{5} \right)^4 = 3^4 = 81

– b) 5 \cdot (3+4)^2 = 5 \cdot 7^2 = 5 \cdot 49 = 245

– c) 3^4 : 5^{-3} = \frac{3^4}{5^{-3}} = 3^4 \cdot 5^3 = 81 \cdot 125 = 10125

– d) \left({(-2)^4 }\right)^3 (-2)^{12} = 2^{12} = 4096

Comentar el ejercicio

  • 3º ESO
    • Sistemas de ecuaciones
    • Ecuaciones
    • Polinomios
    • Radicales
    • Potencias
    • Proporcionalidad y Porcentajes
    • Números Reales
    • Funciones y Gráficas
    • Sucesiones
    • Probabilidad
    • Geometría
    • Estadística
    • Problemas especiales
  • Mapa del sitio
  • Conectarse
  • 2001-2026 — Matemáticas IES — Contactar con Dani