potencias problemas

Ejercicios_Resueltospotenciasproblemas potencias

Tenemos un cubo de lado a

 a) ¿Cuánto vale su volumen?
 b) Si duplicamos el lado (2a), ¿se duplicará también el volumen?. Razona la respuesta.
 c) Comprueba los resultados anteriores con un ejemplo numérico

SOLUCIÓN

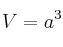
Si el lado vale a entonces el volumen será:

V=a^3

Si el lado vale el doble (2a) entonces el volumen será:

V=(2a)^3 = 2^3 \cdot a^3 = 8a^3


El volumen no se duplica, sino que es 8 veces más grande.

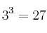
Si por ejemplo a=3 el volumen es 3^3=27
Si el lado vale el doble (6) el volumen será 6^3=216

216 = 8 \cdot 27

Comentar el ejercicio