proporcionalidad problemas
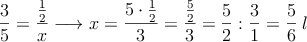
Si para hacer un bizcocho para 3 personas se necesita medio litro de leche, 200 gr. de azúcar y 3 huevos, ¿Qué necesitaremos para hacer el mismo tipo de bizcocho para 5 personas?
SOLUCIÓN

![]()
![]()
huevos

Si para hacer un bizcocho para 3 personas se necesita medio litro de leche, 200 gr. de azúcar y 3 huevos, ¿Qué necesitaremos para hacer el mismo tipo de bizcocho para 5 personas?

![]()
![]()
huevos
