• Apuntes
  • Vídeos
  • Ejercicios
    • Resueltos
    • Por Curso
      • 1º ESO
      • 2º ESO
      • 3º ESO
      • 4º ESO
      • 1º BACH. CIENCIAS
      • 1º BACH. SOCIALES
      • 2º BACH. CIENCIAS
      • 2º BACH. SOCIALES
  • Más recursos
    • Actividades Interactivas
    • Selectividad (PAU)
    • Acceso Mayores 25
    • LaTeX
Inicio ›EJERCICIOS de Matemáticas ›3º ESO ›Radicales ›radicales

radicales

Ejercicios_Resueltosradicalessimplificar_radicales

Calcula el valor de los siguientes radicales:

– a) \sqrt[3]{-27}
– b) \sqrt[3]{64}
– c) \sqrt[3]{343}
– d) \sqrt[4]{14641}

SOLUCIÓN

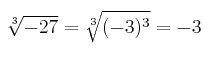
– a) \sqrt[3]{-27}=\sqrt[3]{(-3)^3}=-3
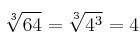
– b) \sqrt[3]{64}=\sqrt[3]{4^3}=4
– c) \sqrt[3]{343}=\sqrt[3]{7^3}=7
– d) \sqrt[4]{14641}=\sqrt[4]{11^4}=11

Comentar el ejercicio

  • 3º ESO
    • Sistemas de ecuaciones
    • Ecuaciones
    • Polinomios
    • Radicales
    • Potencias
    • Proporcionalidad y Porcentajes
    • Números Reales
    • Funciones y Gráficas
    • Sucesiones
    • Probabilidad
    • Geometría
    • Estadística
    • Problemas especiales
  • Mapa del sitio
  • Conectarse
  • 2001-2026 — Matemáticas IES — Contactar con Dani