radicales
Pasa las siguientes potencias a radical y después simplifica todo lo que puedas:
– a)
– b)
– c)
– d) ![]()
SOLUCIÓN
– a) ![8^{{2} \over {3}} = \sqrt[3]{8^2} = \sqrt[3]{(2^3)^2} = \sqrt[3]{2^6} = 2^2=4 8^{{2} \over {3}} = \sqrt[3]{8^2} = \sqrt[3]{(2^3)^2} = \sqrt[3]{2^6} = 2^2=4](local/cache-TeX/452c11f30a57478fb9b0dd93d71f9485.png)
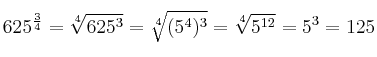
– b) ![625^{{3} \over {4}} = \sqrt[4]{625^3}=\sqrt[4]{(5^4)^3} = \sqrt[4]{5^{12}}= 5^3 = 125 625^{{3} \over {4}} = \sqrt[4]{625^3}=\sqrt[4]{(5^4)^3} = \sqrt[4]{5^{12}}= 5^3 = 125](local/cache-TeX/42533420e0d7ea4a7fd33f85f325f4e6.png)

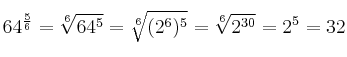
– c) ![64^{{5} \over {6}} = \sqrt[6]{64^5} = \sqrt[6]{(2^6)^5} = \sqrt[6]{2^{30}} = 2^5 = 32 64^{{5} \over {6}} = \sqrt[6]{64^5} = \sqrt[6]{(2^6)^5} = \sqrt[6]{2^{30}} = 2^5 = 32](local/cache-TeX/0f40131fb8699f419a4881fe44fd8cec.png)
– d) 
Pasa las siguientes potencias a radical y después simplifica todo lo que puedas:
– a)
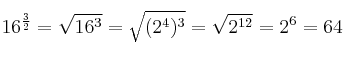
– b)
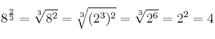
– c)
– d) ![]()
– a) ![8^{{2} \over {3}} = \sqrt[3]{8^2} = \sqrt[3]{(2^3)^2} = \sqrt[3]{2^6} = 2^2=4 8^{{2} \over {3}} = \sqrt[3]{8^2} = \sqrt[3]{(2^3)^2} = \sqrt[3]{2^6} = 2^2=4](local/cache-TeX/452c11f30a57478fb9b0dd93d71f9485.png)
– b) ![625^{{3} \over {4}} = \sqrt[4]{625^3}=\sqrt[4]{(5^4)^3} = \sqrt[4]{5^{12}}= 5^3 = 125 625^{{3} \over {4}} = \sqrt[4]{625^3}=\sqrt[4]{(5^4)^3} = \sqrt[4]{5^{12}}= 5^3 = 125](local/cache-TeX/42533420e0d7ea4a7fd33f85f325f4e6.png)

– c) ![64^{{5} \over {6}} = \sqrt[6]{64^5} = \sqrt[6]{(2^6)^5} = \sqrt[6]{2^{30}} = 2^5 = 32 64^{{5} \over {6}} = \sqrt[6]{64^5} = \sqrt[6]{(2^6)^5} = \sqrt[6]{2^{30}} = 2^5 = 32](local/cache-TeX/0f40131fb8699f419a4881fe44fd8cec.png)
– d) 