• Apuntes
  • Vídeos
  • Ejercicios
    • Resueltos
    • Por Curso
      • 1º ESO
      • 2º ESO
      • 3º ESO
      • 4º ESO
      • 1º BACH. CIENCIAS
      • 1º BACH. SOCIALES
      • 2º BACH. CIENCIAS
      • 2º BACH. SOCIALES
  • Más recursos
    • Actividades Interactivas
    • Selectividad (PAU)
    • Acceso Mayores 25
    • LaTeX
Inicio ›EJERCICIOS de Matemáticas ›3º ESO ›Radicales ›radicales

radicales

Ejercicios_Resueltosradicales

Pasa las siguientes potencias a radical y después simplifica todo los que puedas:

– a) 8^{{4} \over {12}}
– b) 9^{{6} \over {18}}

SOLUCIÓN

– a) 8^{{4} \over {12}}=\sqrt[12]{8^4}=\sqrt[12]{(2^3)^4}=\sqrt[12]{2^{12}}=2

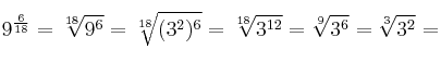
– b) 9^{{6} \over {18}} = \sqrt[18]{9^6} =  \sqrt[18]{(3^2)^6}=  \sqrt[18]{3^{12}} = \sqrt[9]{3^{6}} = \sqrt[3]{3^{2}} =

Comentar el ejercicio

  • 3º ESO
    • Sistemas de ecuaciones
    • Ecuaciones
    • Polinomios
    • Radicales
    • Potencias
    • Proporcionalidad y Porcentajes
    • Números Reales
    • Funciones y Gráficas
    • Sucesiones
    • Probabilidad
    • Geometría
    • Estadística
    • Problemas especiales
  • Mapa del sitio
  • Conectarse
  • 2001-2026 — Matemáticas IES — Contactar con Dani