Derivadas
Derivadas - 1º Bach. Ciencias
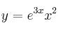
Calcula la derivada de la función 
Calcula la derivada de la función 
Calcula la derivada de las funciones:
–
– 
Calcula la derivada de las funciones:
–
–
– ![]()
Calcula la derivada de las funciones:
–
–
– 
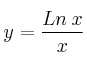
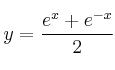
Calcula la derivada de la función
![]()
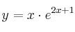
Calcula la derivada de las función

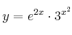
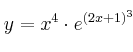
Calcula la derivada de la función
![]()
Calcula la derivada de las funciones:
–
– 
Calcula la derivada de las funciones:
–
– 