Derivadas Ejercicios
Calcula la derivada de la función
![]()
SOLUCIÓN
Al tratarse de un producto
usamos la fórmula de la derivada de un producto:
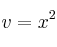
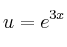
, donde
y ![]()
Calcula la derivada de la función
![]()
Al tratarse de un producto
usamos la fórmula de la derivada de un producto:
, donde
y ![]()
Mensajes
11 de abril de 2015, 04:08, por alejandro
ok me parece bien pero expliquen de donde sale el resultado por que eso es lo que quiero saber el proceso y que formula usaron para llegar a ese resultado
12 de abril de 2015, 11:18, por dani
Arriba tienes la fórmula que se ha usado.
Un saludo.