Derivadas Ejercicios
Calcula la derivada de las funciones:
–
– 
SOLUCIÓN
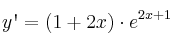
– ![]()
Usaremos la fórmula de la derivada de un producto
![]()
Para nuestro ejemplo sería:

Entonces:
![]()
Simplificando tendríamos:
![]()
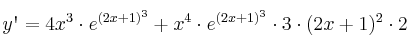
– 
Usamos la fórmula de la derivada de un producto
![]()
Para nuestro ejemplo sería:

Entonces:
