📝 Ejercicios de polinomios
-
Simplifica las siguientes expresiones factorizando previamente los polinomios del numerador y del denominador:
–
–
-
Factoriza los siguientes polinomios:
–
–
-
Factoriza los siguientes polinomios:
–
–
-
Factoriza los siguientes polinomios:
–
–
-
Factoriza los siguientes polinomios:
–
–
-
Factoriza los siguientes polinomios:
–
–
-
Factoriza los polinomios:
–
–
-
Factoriza el polinomio

-
Factoriza el polinomio

-
Factoriza el polinomio

-
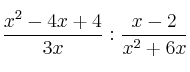
Simplifica las siguientes expresiones factorizando previamente los polinomios del numerador y del denominador:
–
–
-
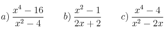
Calcula y simplifica:

-
Calcula y simplifica:

-
Calcula y simplifica:

-
Calcula y simplifica:

-
Simplifica las sigientes fracciones algebraicas:

-
Calcula y simplifica:

-
Halla las raíces de los siguientes polinomios:
–
–
–
-
Usando las fórmulas de las identidades notables:
–
–
–
desarrolla las siguientes expresiones:
– a)
– b)
– c)
– d)
-
Usando las fórmulas de los productos notables, desarrolla las siguientes expresiones, simplificando y ordenando el resultado:
Productos Notables fórmula cuadrado de una suma 
cuadrado de una diferencia 
producto suma x diferencia 
– a)
– b)
– c)
– d)