Funciones y Derivadas
(245) ejercicios de Matemáticas PAU Andalucía
(22) ejercicios de Mat. C. Sociales II — Análisis (Funciones, Continuidad, Límites y Derivadas)
Calcula las siguientes derivadas:
– (a)
– (b)
– (c) ![]()
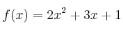
Sean las funciones
y ![]()
– (a) Determine, para cada una de ellas, los puntos de corte con los ejes, el vértice y la curvatura. Represéntelas gráficamente
– (b) Determine el valor de
para el que se hace mínima la función
.
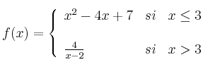
– Estudie la continuidad y derivabilidad de la función:

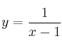
– Calcule la derivada de
– a) Calcule la ecuación de la recta tangente a
en el punto de abcisa
– b) ¿En qué punto de la gráfica de la función
, la recta tangente es paralela a
?
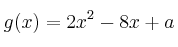
– c) Sea
. Halle
para que el valor mínimo de
sea ![]()
Calcule las derivadas de las siguientes funciones (no es necesario simplificar el resultado):
– a)
– b)
– c)
– d) ![]()