📝 Ejercicios de límites
-
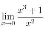
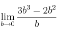
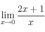
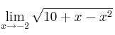
Calcula los siguientes límites:
–
–
–
–
–
–
-
Comprueba si la siguiente función es derivable en el punto


-
[1]Resuelva el siguiente límite:

-
Calcula los valores reales de a y b para que se cumpla la siguiente igualdad:

-
Sea
. Calcula:– a)
– b)
-
Dada la función
Calcula los siguientes límites:–
–
–
-

-
Calcula
en los siguientes casos:–
–
–
–
–
–
-
Calcula los siguientes límites de funciones:
–
–
–
–
-
Calcula los siguientes límites de funciones:
–
–
–
–
-
Calcula los límites de las siguientes funciones cuando x se acerca a +infinito.

-
Calcula los siguientes límites aplicando la regla de L’Hôpital tantas veces como te haga falta:
a)

b)

c)

d)

-
Calcula
en los siguientes casos y dibuja sus asíntotas:–
–
–
–
-
Calcula los siguientes límites y representa gráficamente el resultado obtenido:
–
–
-
Calcula los siguientes límites y representa gráficamente el resultado obtenido:
–
–
-
Calcula los siguientes límites y representa gráficamente el resultado obtenido:
–
–
-
Calcula los siguientes límites y representa gráficamente el resultado obtenido:
–
–
-
Calcula los siguientes límites y representa gráficamente el resultado obtenido:
–
–
-
Calcula los siguientes límites y esboza las ramas en el infinito
–
–
-
Calcula los siguientes límites y esboza las ramas en el infinito
–
–