📝 Ejercicios de límites
-
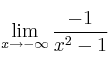
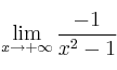
Calcula los siguientes límites y esboza las ramas en el infinito
–
–
-
Siendo
el logaritmo neperiano de
, calcula:
-
Calcula

-
Sea la función
definida por 
– a) Calcula
y
– b) Halla los extremos relativos de f (abscisas donde se obtienen y valores que se alcanzan), determinando si son máximos o mínimos.
– c) Determina las abscisas de los puntos de inflexión de la gráfica de
. -
Para la función
, se pide:
a) Dominio de definición
b) Calcule
. ¿Es posible calcular también
?. Justifique la respuesta
c) Calcule
-
Calcula los valores de
y
para que la siguiente función sea derivable en el punto 
