📝 Ejercicios de ecuaciones_racionales
-
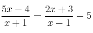
La única solución de la ecuación
es:– (a)
– (b)
– (c)
– (d) 0
– (e) Ninguna de las anteriores -
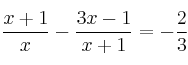
Resuelve la ecuación

-
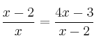
Resuelve la ecuación:

-
Resuelve la ecuación:

-
Resuelve las siguientes ecuaciones:
–
–
-
Resuelve la ecuación

-
Resuelve la ecuación

-
Resuelve la ecuación

-
Resuelve la ecuación

-
Resuelve la ecuación

-
Resuelve la ecuación

-
Resuelve la ecuación

-
Resuelve la ecuación

-
Resuelve la ecuación

-
Resuelve la ecuación

-
Resuelve la ecuación
