• Apuntes
  • Vídeos
  • Ejercicios
    • Resueltos
    • Por Curso
      • 1º ESO
      • 2º ESO
      • 3º ESO
      • 4º ESO
      • 1º BACH. CIENCIAS
      • 1º BACH. SOCIALES
      • 2º BACH. CIENCIAS
      • 2º BACH. SOCIALES
  • Más recursos
    • Actividades Interactivas
    • Selectividad (PAU)
    • Acceso Mayores 25
    • LaTeX
Inicio ›EJERCICIOS de Matemáticas ›1º BACH. CIENCIAS ›Ecuaciones ›Ecuaciones Racionales

Ecuaciones Racionales

ecuacionesecuaciones_racionalesEjercicios_Resueltos

Resuelve la ecuación:
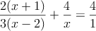
\frac{2(x+1)}{3(x-2)} + \frac{4}{x} = 4

SOLUCIÓN

 \frac{2(x+1)}{3(x-2)} + \frac{4}{x} = \frac{4}{1}

m.c.m. \longrightarrow 3\cdot (x-2) \cdot x

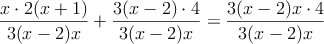
 \frac{x \cdot 2(x+1)}{3(x-2)x} + \frac{3(x-2) \cdot 4}{3(x-2)x} = \frac{3(x-2)x \cdot 4}{3(x-2)x}

 x \cdot 2(x+1) + 3(x-2) \cdot 4 = 3(x-2)x \cdot 4

2x^2+2x +12x-24 = 12x^2-24x

-10x^2+38x-24=0


\begin{array}{ccc} & & x_1 = \frac{-38+22}{-20}=\frac{-4}{-5}\\ & \nearrow &\\ x=\frac{-38\pm \sqrt{38^2-4 \cdot(-10)\cdot(-24)}}{2 \cdot(-10)}=
 \frac{-38\pm \sqrt{484}}{-20}& &\\ & \searrow &\\& &x_2 = \frac{-38-22}{-20}=3\end{array}

\fbox{x=3} y \fbox{x=4/5}

Comentar el ejercicio

  • 1º BACH. CIENCIAS
    • Derivadas
    • Números Reales
    • Sucesiones
    • Logaritmos
    • Polinomios y Fracciones Algebraicas
    • Exámenes
    • Ecuaciones
    • Números Complejos
    • Sistemas de Ecuaciones
    • Trigonometría
    • Inecuaciones
    • Ecuaciones Exponenciales y Logarítmicas
    • Funciones (I)
    • Geometría en el Plano
    • Cónicas
    • Funciones II
    • Integrales
    • Probabilidad
  • Mapa del sitio
  • Conectarse
  • 2001-2026 — Matemáticas IES — Contactar con Dani