• Apuntes
  • Vídeos
  • Ejercicios
    • Resueltos
    • Por Curso
      • 1º ESO
      • 2º ESO
      • 3º ESO
      • 4º ESO
      • 1º BACH. CIENCIAS
      • 1º BACH. SOCIALES
      • 2º BACH. CIENCIAS
      • 2º BACH. SOCIALES
  • Más recursos
    • Actividades Interactivas
    • Selectividad (PAU)
    • Acceso Mayores 25
    • LaTeX
Inicio ›EJERCICIOS de Matemáticas ›1º BACH. CIENCIAS ›Ecuaciones ›Ecuaciones Racionales

Ecuaciones Racionales

ecuacionesecuaciones_racionalesEjercicios_Resueltos

Resuelve la ecuación:
\frac{1}{x^2} - \frac{3}{4} = \frac{-1}{x}

SOLUCIÓN

Recordemos el método para resolver ecuaciones racionales

\frac{1}{x^2} - \frac{3}{4} = \frac{-1}{x}


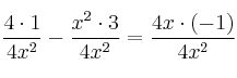
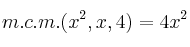
m.c.m.(x^2, x, 4) = 4x^2

\frac{4 \cdot 1}{4x^2} - \frac{x^2 \cdot 3}{4x^2} = \frac{4x \cdot (-1)}{4x^2}


4-3x^2=-4x


-3x^2+4x+4=0


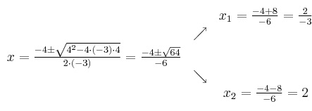
Resolvemos la ecuación de 2º grado


\begin{array}{ccc} & & x_1 = \frac{-4+8}{-6}=\frac{2}{-3}\\ & \nearrow &\\ x=\frac{-4\pm \sqrt{4^2-4 \cdot(-3)\cdot4}}{2 \cdot(-3)}=
 \frac{-4\pm \sqrt{64}}{-6}& &\\ & \searrow &\\& &x_2 = \frac{-4-8}{-6}=2\end{array}

Comentar el ejercicio

  • 1º BACH. CIENCIAS
    • Derivadas
    • Números Reales
    • Sucesiones
    • Logaritmos
    • Polinomios y Fracciones Algebraicas
    • Exámenes
    • Ecuaciones
    • Números Complejos
    • Sistemas de Ecuaciones
    • Trigonometría
    • Inecuaciones
    • Ecuaciones Exponenciales y Logarítmicas
    • Funciones (I)
    • Geometría en el Plano
    • Cónicas
    • Funciones II
    • Integrales
    • Probabilidad
  • Mapa del sitio
  • Conectarse
  • 2001-2026 — Matemáticas IES — Contactar con Dani