📝 Ejercicios de operaciones radicales
-
Expresa como una sola raíz
![\frac{\sqrt[5]{16}}{\sqrt{2}} \frac{\sqrt[5]{16}}{\sqrt{2}}](local/cache-TeX/f1c5a6de110c671440bc27b345e18923.png)
-
Opera y simplifica

-
Opera y simplifica

-
Simplifica:
![\sqrt[4]{\frac{\sqrt[3]{x^3}}{y^2}} \cdot \sqrt{\frac{\sqrt[3]{y}}{\sqrt[3]{x^2}}} \sqrt[4]{\frac{\sqrt[3]{x^3}}{y^2}} \cdot \sqrt{\frac{\sqrt[3]{y}}{\sqrt[3]{x^2}}}](local/cache-TeX/524a078bdf843b7fc20631069ca8c4c9.png)
-
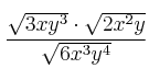
Opera y simplifica:

-
Opera y simplifica:
![\sqrt[4]{\frac{\sqrt[3]{x^3}}{y^2}} \cdot \sqrt{\frac{\sqrt[3]{y}}{\sqrt[3]{x^2}}} \sqrt[4]{\frac{\sqrt[3]{x^3}}{y^2}} \cdot \sqrt{\frac{\sqrt[3]{y}}{\sqrt[3]{x^2}}}](local/cache-TeX/524a078bdf843b7fc20631069ca8c4c9.png)
-
Opera y expresa como una sola raíz:
–
–![\frac{\sqrt[5]{16}}{\sqrt{2}} \frac{\sqrt[5]{16}}{\sqrt{2}}](local/cache-TeX/f1c5a6de110c671440bc27b345e18923.png)
-
Simplifica los siguientes radicales:
–
–![b) \: \sqrt[3]{\sqrt{1024}} b) \: \sqrt[3]{\sqrt{1024}}](local/cache-TeX/e96bbcec2830fc754009e5f429f33857.png)
-
Calcula y simplifica:
– a)
– b)![\: \sqrt[3]{125 \cdot \sqrt{32 \cdot \sqrt[3]{8}}} \: \sqrt[3]{125 \cdot \sqrt{32 \cdot \sqrt[3]{8}}}](local/cache-TeX/47fbb3cef3d419064e15001d0521cb05.png)
-
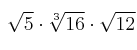
Calcula y simplifica:

-
Calcula y simplifica:

-
Calcula y simplifica:
![\sqrt[4]{25} +3 \sqrt[6]{125} - \sqrt{80} \sqrt[4]{25} +3 \sqrt[6]{125} - \sqrt{80}](local/cache-TeX/a2a3fce0b0b1f923835ad64e25981e6c.png)
-
Opera y simplifica:

-
Calcula y simplifica:

-
Realiza las siguientes operaciones:
– a)
– b)![\left( \sqrt[3]{\sqrt{64}} \right)^2 \left( \sqrt[3]{\sqrt{64}} \right)^2](local/cache-TeX/193570892f8c301eac736b1226d8ceb7.png)
-
Calcula y simplifica:

-
Calcula y simplifica:
![\sqrt[3]{16} - \sqrt[3]{250} + \sqrt[3]{1024} \sqrt[3]{16} - \sqrt[3]{250} + \sqrt[3]{1024}](local/cache-TeX/e3f5b90fdddda520cf83c2dd1091bc2f.png)
-
Calcula y simplifica:
![\frac{\sqrt[6]{4} \cdot 2\sqrt{14}}{\sqrt[3]{2}} \frac{\sqrt[6]{4} \cdot 2\sqrt{14}}{\sqrt[3]{2}}](local/cache-TeX/92f94f04c2c24f7013d0b9c58bf09761.png)
-
Calcula y simplifica:
![\sqrt[6]{8} - \sqrt[12]{64} + 2\sqrt[4]{4} \sqrt[6]{8} - \sqrt[12]{64} + 2\sqrt[4]{4}](local/cache-TeX/a2286a4b7361d1cc57fa3a04b0c15c13.png)
-
Opera y simplifica:
– a)
– b)![5\sqrt[3]{54} - 3 \sqrt[3]{250} - \sqrt[3]{16} 5\sqrt[3]{54} - 3 \sqrt[3]{250} - \sqrt[3]{16}](local/cache-TeX/e6d68190fbe7692452391858315b862e.png)