trigonometría problemas
Observamos el punto más alto de una torre bajo un ángulo de
sobre la horizontal. Si nos alejamos 350 metros, lo vemos bajo un ángulo de
. ¿A qué altura se encuentra la
torre?
SOLUCIÓN
Hacemos un dibujo de la situación
Se trata de un problema clásico de trigonometría que se resuelve usando las tangentes de los ángulos de 31 y 72. De esa forma se obtienen dos ecuaciones y un máximo de dos incógnitas (bastaría con resolver el sistema).
Si intentamos usar senos o cosenos aparecerían más incógnitas complicando más la situación.

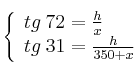
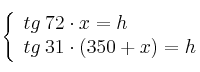
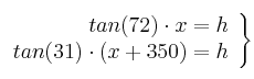
Podemos usar el método de igualación despejando "h" en ambas ecuaciones:

![]()
![]()
Se podrían sustituir las tangentes por sus valores (usando la calculadora), o bien se puede dejar para hacer los cálculos al final (optaremos por dejarlos para el final).
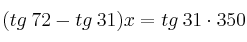
Para resolver la ecuación de primer grado ponemos las "x" en la izquierda y los números a la derecha del signo igual.

Usamos la calculadora y obtenemos un valor (aproximado) de ![]()
Ahora calculamos "h" en una de las expresiones donde estaba despejada:
![]()

Mensajes
20 de marzo de 2007, 22:16
En primer lugar hacemos un esquema del problema:
Observemos los dos triángulos rectángulos de vértices ACD y BCD.
Aplicamos las tangentes a los ángulos conocidos: 31º y 72º
Tenemos un sistema de dos ecuaciones con dos incógnitas: x y h
En primer lugar quitamos denominadores

Tenemos despajada
en la primera ecuación. Sustituimos por su valor en la segunda.

Nos encontramos ante una ecuación de primer grado en la incógita
.
Quitamos paréntesis:
Términos con
a la izquierda y números a la derecha
Sumamos (en la izquierda) todos los términos con
Ahora ya podemos despejar
Finalmente calculamos
, que la teníamos despejada antes:
La altura de la torre es de
26 de mayo de 2007, 16:55
BUENIZIIIMO!!..
INCREIIBLE..
10 de junio de 2007, 01:32, por ana
Muy bueno el problema, felicidades!
8 de julio de 2007, 21:26, por Pastor Puchoc Raza
saludos y mi comentario sobre la solucion del problema :
No es necesario calcular el valor de x , con solo usar la razon trigonometrica cotangente el problema se reduce en 3 lineas
.... Pastor Puchoc (prof de trigonometria en academias preuniversitarias Lima- Peru )
felicitaciones por publicar estos articulos por que ayudan a los alumnos a como resolver un problema de la manera mas practica posible
mi correo es puchoc1@hotmail.com
9 de julio de 2007, 09:16, por Fernando
Agradecemos tu colaboración por la observación realizada.
www.cibermatex.com , contexto del que está extraído el vídeo, tiene por filosofía el "introducir" progresivamente a los usuarios en los distintos conceptos matemáticos.
El problema al que haces referencia, está en la sección de 4º ESO "Introducción a la Trigonometría" y el objetivo inical es el uso de las Razones Fundamentales ( sen. , cos. , tag. ) para conseguir familiarizarse con el manejo de las mismas y posteriormente profundizar en sus correspondientes inversas.
En el inicio a la trigonometría es conveniente fijar los conceptos de: sen. y cos. , posteriormente la tag. por tratarse del cociente entre ambas razones y en "Iniciación a Bachillerato" se hace necesario el uso de las Razones Inversas.
Me reitero en al agradecimiento a tu observación y en la sección de "Ejercicios de Ampliación" correspondiente a www.cibermatex.com se incluirá la realización del problema mediante e uso de la cotangente.
Saludos
Fernando
Ver en línea : http://www.cibermatex.com
16 de agosto de 2007, 05:59, por Luis Felipe
"MUY BUENO EL VIDEO" ME GUSTARIA QUE PUSIERAS MAS PROBLEMAS PERO DEL NIVEL DE UNA OLIMPIADA
8 de octubre de 2007, 14:43
8 de octubre de 2007, 15:27, por dani
No existe la posibilidad de enviar ejercicios a esta página.
Sin embargo, sí existe la posibilidad de proponer ejercicios y preguntar dudas de Matemáticas en los foros de reciente creación: Foros de Matemáticas IES
Ver en línea : FORO sobre los ejercicios de esta web
23 de mayo de 2011, 23:56, por El Barto
Gracias, voy a 4 de ESO, me has salvado por k mi profe no tiene ni idea. si me sale bien el examen te lo dedico XD
:)
31 de mayo de 2011, 19:23, por cuartodelaeso
mu bueno se agradece
10 de junio de 2011, 21:06, por sergio
me ha encantado pero no se como se despeja "X"
x=-tan(31)·350/ tan (31)-tan(72)= 84.9
¿Como se realiza esta operación?
Muchas gracias!!!
2 de septiembre de 2011, 22:08, por Rafaal
yo he resuelto este problema mediante la ley del seno, en donde:
sen 31°:sen 41°::BC:350. Despejando obtenemos que BC es 274.77m
Luego ya es sencillo: se procede con sen de 72° que es igual a CD/BC. Por regla se obtiene que CD es 261.32m.
14 de octubre de 2011, 22:51, por jesi.3ª ravetti
hola!soy jesi voy a 3ª ravetti, hoy tengo examen de trigonometria y no entiendo nada...¿como me doy cuenta que formula debo utilizar?
3 de agosto de 2012, 15:03, por Tintxo
Todo perfectamente correcto, pero añadiría un detalle. La altura de la torre es de 261.3 metros más la distancia en metros desde el suelo a los ojos de quien observa la torre.
2 de diciembre de 2012, 03:04, por jesica
hola mi nombre es jesica y tengo un problema de trigonometria y no se como resolverlo me podrian ayudar?es asi.
Un triangulo rectangulo con su area maxima,tiene dos catetos y la sumatoria de los mismos es de 10cm,cuanto mide cada cateto?
2 de diciembre de 2012, 09:20, por dani
Las dudas las resolvemos en nuestra
Aula Virtual.
Por cierto, no es un problema de trigonometría, sino de optimización.
9 de febrero de 2020, 16:22, por Kevin Yesid Gómez Quintero
Desde un punto A qué está sobre el piso, hasta el pie de una roca hay 100 m, se observa el nido de un águila con un ángulo de elevación de 38°, desde el mismo punto se observa la parte más alta de la roca con un ángulo de elevación de 60°, ¿Cual es la distancia que hay entre el nido y la parte más alta de la roca?
9 de febrero de 2020, 17:55, por dani
Para consultar dudas o proponer ejercicios debe hacerlo en nuestro foro:
https://foro-dudas.gratis/