trigonometría razones trigonométricas
Sabiendo que
y que
, calcula
y ![]()
SOLUCIÓN
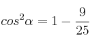
Como
su coseno será positivo, por tanto:

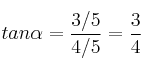
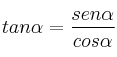
Para la tangente usamos la fórmula

Sabiendo que
y que
, calcula
y ![]()
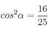
Como
su coseno será positivo, por tanto:

Para la tangente usamos la fórmula
