trigonometría razones trigonométricas
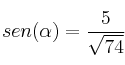
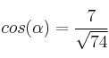
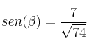
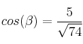
Calcula el valor de las razones trigonométricas (seno, coseno y tangente) de todos los ángulos del siguiente triángulo
SOLUCIÓN
Podemos calcular con Pitágoras el lado que nos falta del triángulo:
![]()
![]()
![]()







![]()
![]()
NO TIENE